ads/auto.txt

Definition Of Evaluate Definite Integral

Definite Integral Of An Absolute Value Function Calculus Calculus Absolute Value Wedding Humor Quotes

Definite Integral Of An Absolute Value Function Calculus Calculus Absolute Value Wedding Humor Quotes

Students Will Understand The Definition Of A Riemann Sum And Evaluate A Definite Integral Using Properties Of Definite Inte Ap Calculus Ap Calculus Ab Calculus

Students Will Understand The Definition Of A Riemann Sum And Evaluate A Definite Integral Using Properties Of Definite Inte Ap Calculus Ap Calculus Ab Calculus

Evaluating The Definite Integral Of Cosx From 0 To Pi

Evaluating The Definite Integral Of Cosx From 0 To Pi

Limit Definition Of Definite Integral Worksheet Calculus Editable In 2020 Calculus Ap Exams Definitions

Limit Definition Of Definite Integral Worksheet Calculus Editable In 2020 Calculus Ap Exams Definitions

Pin By Megan Eh On Science Teaching Math Calculus Ap Calculus

Pin By Megan Eh On Science Teaching Math Calculus Ap Calculus

The Fundamental Theorem Of Calculus Definite Integrals Calculus Unit 6 Calculus Ap Calculus Ab Ap Calculus

The Fundamental Theorem Of Calculus Definite Integrals Calculus Unit 6 Calculus Ap Calculus Ab Ap Calculus

The Fundamental Theorem Of Calculus Definite Integrals Calculus Unit 6 Calculus Ap Calculus Ab Ap Calculus

It explains how to evaluate the definite integral of linear functions.

Definition of evaluate definite integral. When calculating an approximate or exact area under a curve all three sums left right and midpoint are called riemann sums after the great german mathematician g. The integral of a. According to the first fundamental theorem of calculus a definite integral can be evaluated if f x is continuous on a b by. The reason for this will be apparent eventually.

An integral that is calculated between two specified limits usually expressed in the form b a ƒ dx. A definite integral looks like this. Use the limit definition of definite integral to evaluate where is a constant. The definite integral is defined to be exactly the limit and summation that we looked at in the last section to find the net area between a function and the x axis.

Int a b f x dx f b f a if this notation is confusing you can think of it in words as. Type in any integral to get the solution free steps and graph this website uses cookies to ensure you get the best experience. The exact area under a curve between a and b is given by the definite integral which is defined as follows. The development of the definition of the definite integral begins with a function f x which is continuous on a closed interval a b the given interval is partitioned into n subintervals that although not necessary can be taken to be of equal lengths δ x an arbitrary domain value x i is chosen in each subinterval and its subsequent function.

The integral symbol in the previous definition should look familiar. The result of performing the integral is a. Click here to see a detailed solution to problem 14. We have seen similar notation in the chapter on applications of derivatives where we used the indefinite integral symbol without the a and b above and below to represent an antiderivative although the notation for indefinite integrals may look similar to the notation for a definite integral they are not the same.

Free definite integral calculator solve definite integrals with all the steps. Int a b f x dx definite integrals differ from indefinite integrals because of the a lower limit and b upper limits. Also note that the notation for the definite integral is very similar to the notation for an indefinite integral. This calculus video tutorial provides a basic introduction into the definite integral.

The Lesson Includes Guided Notes Handout Fully Editable Smartboard Presentation Homework Assignment Comp Calculus Ap Calculus Guided Notes

The Lesson Includes Guided Notes Handout Fully Editable Smartboard Presentation Homework Assignment Comp Calculus Ap Calculus Guided Notes

This Is The Fifth Lesson In An Eight Lesson Unit On Advanced Techniques Of Integration For Students Enrolled Ap Calculus Calculus High School Math Lesson Plans

This Is The Fifth Lesson In An Eight Lesson Unit On Advanced Techniques Of Integration For Students Enrolled Ap Calculus Calculus High School Math Lesson Plans

Calculus Ii Integration By Parts Level 6 Calculus Integration By Parts Math Teacher

Calculus Ii Integration By Parts Level 6 Calculus Integration By Parts Math Teacher

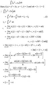
Rbse Solutions For Class 12 Maths Chapter 10 Definite Integral Ex 10 1 Class 12 Maths Studying Math Maths Solutions

Rbse Solutions For Class 12 Maths Chapter 10 Definite Integral Ex 10 1 Class 12 Maths Studying Math Maths Solutions

Calculus Integration Fundamental Theorem Definite Integral Task Cards And Hw In 2020 Calculus Task Cards Math Lesson Plans

Calculus Integration Fundamental Theorem Definite Integral Task Cards And Hw In 2020 Calculus Task Cards Math Lesson Plans

Circuit Training U Substitution With Definite Integrals Calculus In 2020 Calculus Ap Calculus Circuit

Circuit Training U Substitution With Definite Integrals Calculus In 2020 Calculus Ap Calculus Circuit

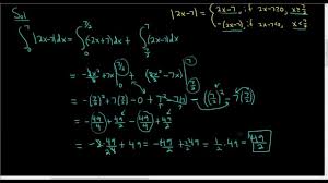
Definite Integral With Absolute Value 2x 7 From 0 To 7 2 Absolute Value Calculus Integration By Parts

Definite Integral With Absolute Value 2x 7 From 0 To 7 2 Absolute Value Calculus Integration By Parts

Integrals Antiderivatives Calculus Ap Calculus Ab This Or That Questions

Integrals Antiderivatives Calculus Ap Calculus Ab This Or That Questions

Systems And Matrices Unit Foldables Precalculus Unit 7 Precalculus Systems Of Equations Ap Calculus

Systems And Matrices Unit Foldables Precalculus Unit 7 Precalculus Systems Of Equations Ap Calculus

Calculus Integration By U Substitution Unit 6 Calculus Integration By Substitution Ap Calculus

Calculus Integration By U Substitution Unit 6 Calculus Integration By Substitution Ap Calculus

This Is The Bundled Unit For Advanced Techniques Of Integration Each Lesson Provides A Set Of Guided Notes Which I Calculus Ap Calculus Ab Excel Tutorials

This Is The Bundled Unit For Advanced Techniques Of Integration Each Lesson Provides A Set Of Guided Notes Which I Calculus Ap Calculus Ab Excel Tutorials

This Lesson Is Intended For Ap Calculus Ab Bc And Honors Students The Single Lesson Includes A Student Handout A Smart Ap Calculus Ap Calculus Ab Calculus

This Lesson Is Intended For Ap Calculus Ab Bc And Honors Students The Single Lesson Includes A Student Handout A Smart Ap Calculus Ap Calculus Ab Calculus

Students Evaluate Limits And Find Their Answers In The Squares On The Bingo Board First One To Find A Bin Ap Calculus Ap Calculus Ab High School Math Lessons

Students Evaluate Limits And Find Their Answers In The Squares On The Bingo Board First One To Find A Bin Ap Calculus Ap Calculus Ab High School Math Lessons

Pin By Flamingo Math On Calculus Integration Calculus Ap Calculus Ap Calculus Ab

Pin By Flamingo Math On Calculus Integration Calculus Ap Calculus Ap Calculus Ab

Source : pinterest.com